교통사고 시 목, 허리 통증 1순위
[한스경제=이소영 기자] 경다현 자생한방병원 척추관절연구소 한의사 연구팀은 교통사고를 겪은 임산부에 대한 한의치료의 유효성과 안전성을 SCI(E)급 국제학술지 ‘Medicine (IF=1.6)’에 논문을 발표했다고 5일 밝혔다.
연구결과, 침치료를 비롯한 한의치료를 받은 임산부 환자들의 통증과 기능은 크게 호전됐으며, 치료 만족도 또한 높게 나타났다.
경다현 한의사 연구팀은 지난 2018년 1월부터 2022년 4월까지 대전자생한방병원에 내원한 교통사고 환자 중 임산부 환자 126명의 데이터를 기반으로 한의치료의 효과를 분석했다. 치료 후 장기 추적관찰이 진행됐으며, 총 50명의 환자가 설문에 응했다.
교통사고 시 가장 많은 환자가 통증을 호소한 부위는 목과 허리였다. 환자들은 목과 허리를 1순위로 선택했으며, 두통, 무릎, 어깨 등의 통증이 뒤를 이었다. 이에 환자들의 체질과 세부 증상을 고려한 한의통합치료가 진행됐다.
대부분의 환자에게 침치료, 부항치료, 경피적외선 치료가 진행됐고, 그중 50% 이상의 환자가 추나요법을 비롯한 전침과 약침치료를 병행했다. 한약도 입원과 외래환자에서 비슷한 비율로 처방됐다.
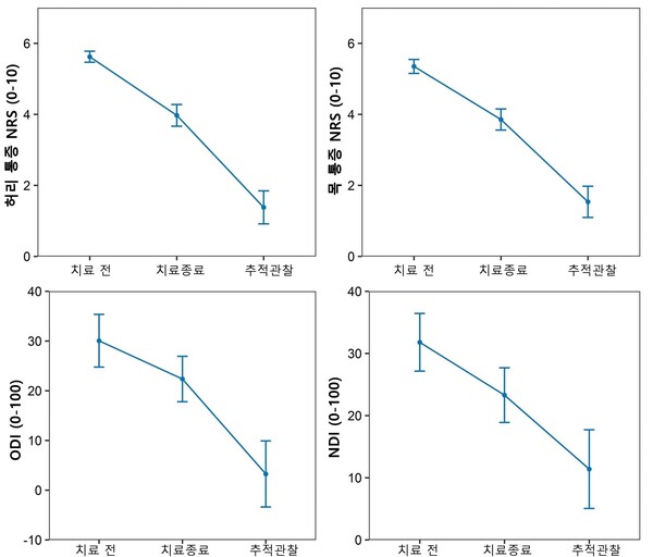
치료 종료 후 추적관찰 결과 목과 허리 통증을 평가하는 NRS(0~10), 기능적 상태를 측정하는 NDI(목, 0~100) 및 ODI(허리, 0~100) 등 각 평가 지표에서 유의미한 개선효과가 관찰됐다.
목 통증 NRS는 치료 전 평균 5.35로 중증에 해당됐지만, 정상 수준인 1.54로 약 3분의 1 수준까지 감소했다. 허리 통증 NRS도 마찬가지로 평균 5.62에서 1.38로 크게 줄었다. 또한 NDI는 31.8에서 11.40으로 약 64%, ODI는 30.05에서 3.27로 89% 개선됐다. 삶의 질 변화를 평가하는 EQ-5D-5L에서도 통증을 비롯한 증상이 정상 수준에 가깝게 개선됨을 확인했다고 연구팀은 설명했다.
치료에 대한 만족도 또한 높게 나타났다. 치료만족도를 평가하는 PGIC 평가 진행 결과 86%의 환자들이 증상이 좋아졌다고 응답했다. 치료 후 일상생활이 더욱 편안해졌음을 느낀 환자는 98%에 달했다. 임신 기간 중 나타난 증상과 출산 후 신생아의 건강 문제 등을 조사한 결과에서도 일반적인 임신부의 비율과 유사했으며, 치료에 따른 유의미한 부작용은 발견되지 않았다.
경다현 자생한방병원 척추관절연구소 한의사는 “이번 연구를 통해 한의치료가 교통사고로 인한 임산부의 통증과 증상을 효과적으로 감소시키는 것을 확인했다”며 “앞으로 한의통합치료의 안전성에 대한 연구가 더욱 많이 진행돼 임산부 환자들의 건강 관리에 도움이 될 수 있기를 바란다”고 말했다.
이소영 기자 sylee03@sporbiz.co.kr
관련기사
- 자생한방병원, 취약계층 노인 대상 특식 지원 행사 진행
- 자생한방병원, '2024 메디컬아카데미 인턴십' 성료
- 자생한방병원-대한적십자사, 재난 상황 의료지원 상호협력 업무협약 체결
- 자생한방병원, 광주광역시체육회와 건강관리 업무협약…"지역사회와 상생"
- 자생한방병원, 청주내덕노인복지관서 척추 질환 관련 건강강좌 진행
- 자생한방병원, 충남 서천군에 수해지원물품 전달…"재해지역 지원"
- 자생한방병원, 척추관협착증∙허리디스크 환자 한방의료 이용현황 분석
- 자생한방병원 "건보 특혜 의혹, 근거 없는 주장"
- 자생한방병원, 대한탁구협회와 의료지원 맞손
- 자생한방병원, ‘2024 자생국제학술대회’ 개최…"통합의학 근거 마련"
- 자생한방병원 "가을맞이 '한방 의료봉사활동' 진행"



